Algorithm: This method can be derived from (but predates) Newton-Raphson method. 1 Start with an arbitrary positive start value x (the closer to the. root, the better). 2 Initialize y = 1. 3. Do following until desired approximation is achieved. a) Get the next approximation for root using average of x and y. b) Set y = n/x.. Some archaeological considerations: Square Root Approximations in Old Babylonian Mathematics, by David Fowler and Eleanor Robson, in Historia Mathematica, Volume 25, Issue 4, November 1998. A modern description for the algorithm: The Babylonian method for finding square roots by hand, by Rick Wicklin, on The DO Loop

Table 1 from The Hidden Geometry of the Babylonian Square Root Method Semantic Scholar
![[PDF] Square Root Approximations in Old Babylonian Mathematics YBC 7289 in Context Semantic [PDF] Square Root Approximations in Old Babylonian Mathematics YBC 7289 in Context Semantic](https://d3i71xaburhd42.cloudfront.net/38e628b26289e4861fd7ecb0c8e4140f86729f98/2-Figure1-1.png)
[PDF] Square Root Approximations in Old Babylonian Mathematics YBC 7289 in Context Semantic

Heron's method or Babylonian method to find the approximate square root of a number. 283 YouTube

Babylonian Method to find square root of a number. YouTube

++ Adventures Babylonian method for square roots! YouTube

Babylonian Square Root YouTube

How did the Babylonians know √2 up to six digits?

Babylonian Method vs. Newton’s Method of extracting square roots Geeks out of the box

Solved Labs 47 Makeup CMPSC 201 Fall 2017 Due by the end

PPT Origami Instructions PowerPoint Presentation, free download ID2418363

Solved The Babylonian algorithm to compute the squareroot of
Solved An Iterative Procedure That Can Be Used To Calcula...

Babylonian square roots Project Lovelace

Codebymath with Python Babylonian method to find the square root of a number YouTube

PPT Origami Instructions PowerPoint Presentation, free download ID2418363

babylonian_method Chalkdust

(Get Answer) Transcribed image text Babylonian Method for Square Root... Transtutors

Sumerians Looked to the Heavens as They Invented the System of Time… And We Still Use it Today

Fast, Accurate & simple method of Square root calculation Babylonian Method YouTube

Babylonian method of Finding square root 4000 years old formula Number Ji Mukesh Kushwaha
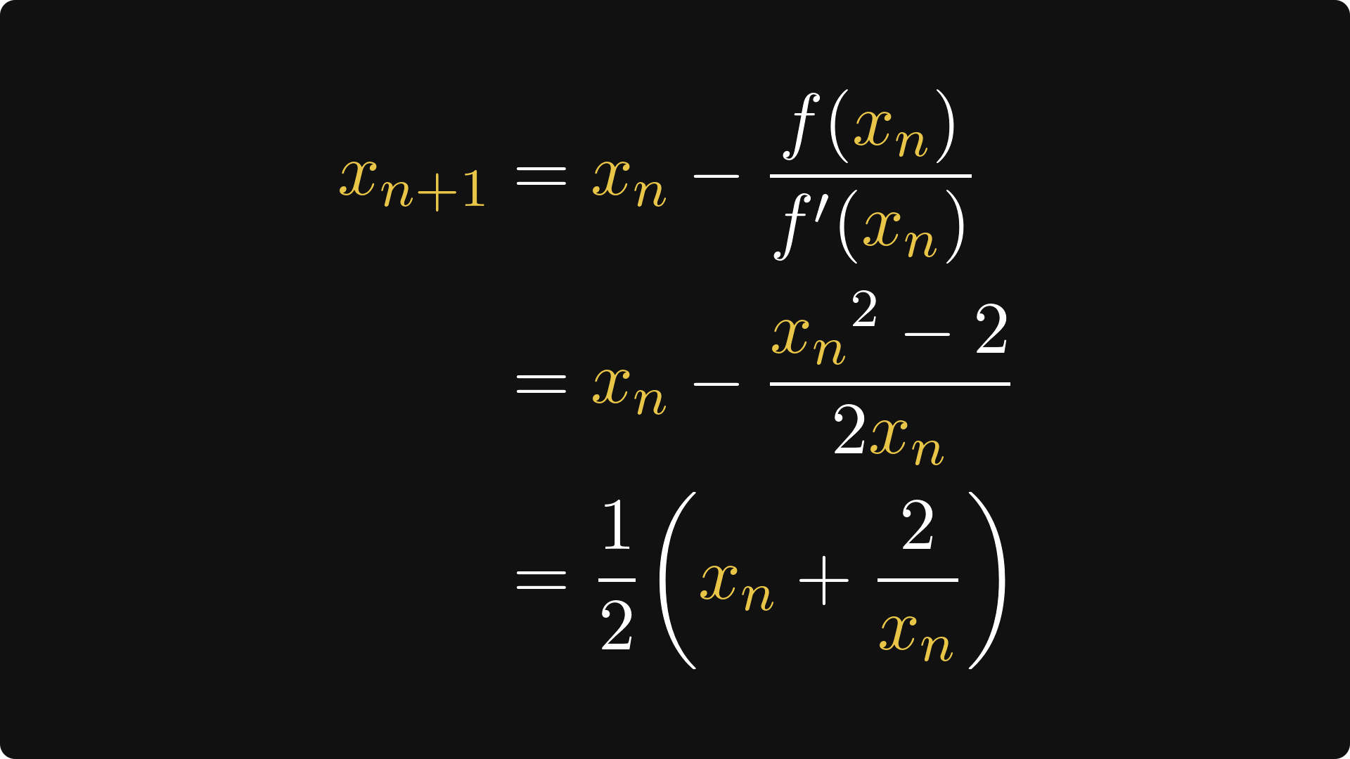
The Babylonian square-root algorithm. The iterative method is called the Babylonian method for finding square roots, or sometimes Hero's method. It was known to the ancient Babylonians (1500 BC) and Greeks (100 AD) long before Newton invented his general procedure.. This is a method to find each digit of the square root in a sequence. This method is based on the binomial theorem and basically an inverse algorithm solving (+) = + +. It is slower than the Babylonian method, but it has several advantages: It can be easier for manual calculations.